Война на Карельском перешейке 1941-44
Война на Карельском перешейке 1941-44
Понял,спасибо)
			
			
									
						
		0 x 
			-Hier sind wir zu Gast!.....
-Das hat nicht geklappt!..(С)Кузьмич.
						-Das hat nicht geklappt!..(С)Кузьмич.
Война на Карельском перешейке 1941-44
Не помню, чтобы выкладывал кто здесь... Оживлю тему. 
			
							
- Вложения
		1 x 
			
						Война на Карельском перешейке 1941-44
Книга очень даже подробна, советую.. Будет не лень, выложу пяток сканов страниц, для затравки.  
			
			
									
						
		0 x 
			
						- Буквоед
- Знаток
- Сообщения: 7150
- Зарегистрирован: 24 ноя 2008 11:00
- Откуда: Старый Белоостров, СНТ "Ленавтотранс"
- x 299
Война на Карельском перешейке 1941-44
А нигде. В интернете её нет. Только купить в магазине издательства "Гйоль", если ещё остались. Ну, или, возможно, на "Крупе".
		1 x 
			Всё новое это хорошо забытое старое
						- Aqua$erg
- Хозяин
- Сообщения: 9705
- Зарегистрирован: 08 авг 2006 20:46
- Откуда: СНТ "Полиграфист"
- x 749
- Контактная информация:
Война на Карельском перешейке 1941-44
Если все способы окажутся безрезультатными, можно попробовать вежливо попросить книгу у Хона

		0 x 
			
						Война на Карельском перешейке 1941-44
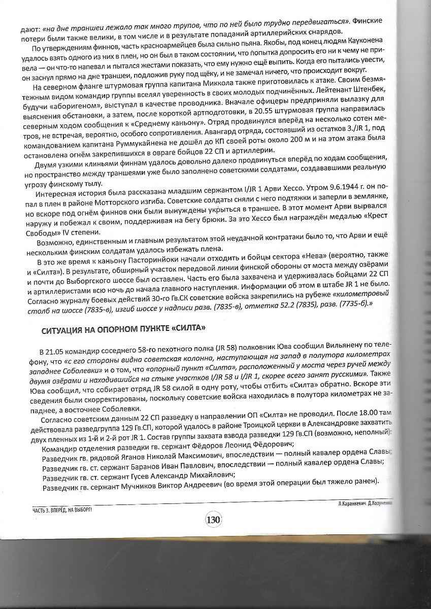
 Так то можно конечно, но ИМХО такая обьязательно должна быть дома, как справочная литература... Отсканил на пробу-выкладываю, читабельно нет?.. Если что, отсканю только события предшествующие главному удару, а именно разведку боем 9-10.06.1944.
  Так то можно конечно, но ИМХО такая обьязательно должна быть дома, как справочная литература... Отсканил на пробу-выкладываю, читабельно нет?.. Если что, отсканю только события предшествующие главному удару, а именно разведку боем 9-10.06.1944.- Вложения
		2 x 
			
						Война на Карельском перешейке 1941-44
Кярки с фотографии получается где-то здесь?
			
							
			
									
						
		2 x 
			Білоострів це Європа
						Война на Карельском перешейке 1941-44
Нет, где крестик, там Корва, вернее крестик между Корвой и Кярки. Кярки выдвинут к Авангарду. ИМХО приблизительно где 2 линия нынешнего СНТ Родник... Может 3-я.. Корву знатно кстати накрыло. Там до сих пор воронки метров по 5..
					Последний раз редактировалось Хон с 38 15 янв 2025 23:02, всего редактировалось 1 раз.
									
			
						
		2 x 
			
						Война на Карельском перешейке 1941-44
Ну про Силту завтра постараюсь... Это приблизительно метров 200-300 от перекрестка водопада за заводским озером.
			
			
									
						
		1 x 
			
						Война на Карельском перешейке 1941-44
продолжаем.... По разведке боем осталось скана на 6 страниц, далее идет гдавный удар...
			
							- Вложения
		1 x 
			
						Война на Карельском перешейке 1941-44
практически нереально. Ищу следующий двухтомник, про хронику VT, на Крупе сказали даже не ищи... Почитать конечно можно, но не раньше лета-без обид, уж больно ценный экземпляр. Завтра, если сложится планировал на Уделку в поисках озвученного выше двухтомника... Если будет и эта-возьму не задумываясь вторую кому нибудь..

		0 x 
			
						Война на Карельском перешейке 1941-44
.... товарищи-коллеги, спустя 2 недель безуспешных поисков НАШЕЛ! заказал и только что забрал из постамата на почте.. Чему был удивлен.  Брал в подарок на фоне "второго завоза не будет"
 Брал в подарок на фоне "второго завоза не будет"  Вместе с доставкой-1900. на сайте пока "в наличии"... ссылку прилагаю. Ув. Рыбак получил ссылку еще неделю назад.
  Вместе с доставкой-1900. на сайте пока "в наличии"... ссылку прилагаю. Ув. Рыбак получил ссылку еще неделю назад.  PS По времени: заказал в понедельник, получил сегодня.
 PS По времени: заказал в понедельник, получил сегодня.
https://www.centrmag.ru/catalog/product ... astypleni/
			
							
			
									
						 Брал в подарок на фоне "второго завоза не будет"
 Брал в подарок на фоне "второго завоза не будет"  Вместе с доставкой-1900. на сайте пока "в наличии"... ссылку прилагаю. Ув. Рыбак получил ссылку еще неделю назад.
  Вместе с доставкой-1900. на сайте пока "в наличии"... ссылку прилагаю. Ув. Рыбак получил ссылку еще неделю назад.  PS По времени: заказал в понедельник, получил сегодня.
 PS По времени: заказал в понедельник, получил сегодня.https://www.centrmag.ru/catalog/product ... astypleni/
		2 x 
			
						














